Vẽ tam giác tràn ra mép giấy, 2 học sinh bất ngờ chứng minh được định lý toán học có tuổi đời 2.500 năm
Điều đặc biệt là chưa có ai từng chứng minh được định lý ấy theo cách này, ngay cả Albert Einstein.
- Một trí thức tốt nghiệp đại học năm 18 tuổi, được phong Giáo sư khi tròn 30 tuổi, là Viện trưởng trẻ tuổi nhất trong lịch sử khoa học Việt Nam
- Cậu bé 14 tuổi tự tử sau khi tâm sự cả ngày với chatbot AI, người mẹ nghi ngờ AI đã dụ dỗ con trai bà làm điều dại dột
- Cựu sinh viên Bách Khoa có tên trong "ngôi đền sáng chế" Hoa Kỳ, trở thành "ngôi sao" của trường đại học Mỹ, sau khi mang về khoản tài trợ 25 triệu USD
- Nhà toán học Việt Nam có khám phá kép, giúp trường đại học Mỹ duy trì vị thế dẫn đầu thế giới về đại số
- Bài toán đang hot nhất Threads: Kiến thức cấp 2 nhưng khiến nhiều người lớn vò đầu bứt tai
Thời phổ thông, ai trong số chúng ta cũng từng phải giải toán hình học không gian. Và một khi đã giải toán hình không gian, ai cũng ít nhất một lần gặp phải trường hợp ấy: Khi đang vẽ hình thì hết giấy.
Tất cả các trường hợp như vậy đều liên quan đến một chiếc tam giác "đột biến", có hai cạnh dài bất thường, nên vẽ mãi đến tận mép giấy mà chúng vẫn không cắt nhau. Trong tình huống này, bạn sẽ giải quyết nó như thế nào?

Ảnh minh họa.
Một số học sinh - rất sáng tạo - sẽ vẽ tiếp hình sang một chiều không gian khác, chính là mặt sau của tờ giấy. Số khác sẽ lấy một tờ giấy nữa, đặt xuống bên dưới tờ giấy cũ để vẽ tiếp cho đủ hình. Hoặc nếu trong tình huống quá cấp bách, bạn có thể vẽ tam giác trôi ra mặt bàn cũng được.
Mặc dù vậy, có một số người sẽ cho rằng: Tại sao cứ phải cố chấp vẽ nốt chiếc tam giác "đột biến" đó? Cứ vẽ đến hết giấy thôi, dừng lại là được. Thậm chí, nếu bạn vẽ không hết hình trong mặt giấy thì lời giải của bạn chắc chắn không chính xác.
Nhưng một nghiên cứu mới trên tạp chí American Mathematical Monthly bây giờ sẽ khiến họ phải nghĩ lại. Đôi khi, phần tam giác phía ngoài tờ giấy có thể ẩn chứa những bí ẩn không ngờ tới của toán học.
Cụ thể trong trường hợp này, với một hình tam giác "đột biến" hai học sinh trung học ở Mỹ đã tìm thấy được một cách chứng minh định lý Pytago từng được cho là "bất khả", trong suốt hơn 2.500 năm, kể từ khi nó được phát biểu.

Ảnh minh họa.
Chưa ai từng chứng minh được định lý Pytago theo cách này, ngay cả Albert Einstein
Định lý Pytago được đặt theo tên nhà toán học Hy Lạp cổ đại Pythagoras (570-495 TCN) - người đầu tiên chứng minh được nó, dù đã có những bằng chứng cho thấy các nhà toán học ở các nền văn minh cổ đại khác như Babylon, Ấn Độ, Lưỡng Hà và Trung Quốc cũng đã độc lập khám phá ra nó:
Rằng trong một tam giác vuông, bình phương của cạnh huyền luôn bằng tổng bình phương độ dài của hai cạnh góc vuông. Nếu tam giác vuông có độ dài hai cạnh góc vuông là a và b, cạnh huyền là c, thì Định lý Pytago được biểu diễn bằng công thức:
𝑐2 = 𝑎2 + 𝑏2

Nếu không biết tới Định lý Pytago, người Ai Cập cổ đại sẽ không thể xây kim tự tháp.
Tưởng chừng như một công thức đơn giản, nhưng nếu không biết tới Định lý Pytago, người Ai Cập cổ đại sẽ không thể xây kim tự tháp, người Babylon không thể tính toán được vị trí của các ngôi sao và người Trung Quốc không thể chia được ruộng đất.
Định lý này còn đặt nền tảng cho nhiều trường phái toán học như hình học không gian, hình học phi Eculid và hình học vi phân - mà nếu không có nó, hoặc nó được chứng minh là sai, thì gần như toàn bộ nhánh hình của toán học mà loài người biết đến ngày nay sẽ sụp đổ.
Chứng minh Định lý Pytago là đúng, vì vậy, là một nhiệm vụ rất quan trọng. Do đó, ngay từ những năm 500 Trước Công Nguyên, nhà toán học Hy Lạp cổ đại Pythagoras đã nhận nhiệm vụ này và lần đầu tiên ghi tên mình vào lịch sử.
Ông chứng minh Định lý Pytago bằng một phương pháp rất đơn giản:

Ảnh minh họa.
Vẽ một hình vuông có độ dài cạnh là a+b. Sau đó, ở mỗi góc, tiếp tục vẽ 4 hình tam giác bằng nhau, có cạnh là a và b. Các tam giác này đều là tam giác vuông bằng nhau, có cạnh huyền là c và tạo với nhau một khoảng trắng bên trong hình vuông có diện tích là c2.
Sau đó, chỉ bằng cách sắp xếp lại vị trí của 4 tam giác đó, Pythagoras đã tạo ra hai khoảng trắng mới là hai hình vuông có cạnh là a và b. Tổng diện tích của hai khoảng trắng đó là a2 + b2, dĩ nhiên phải bằng khoảng trắng ban đầu c2.
Đây là cách chứng minh mà bạn sẽ tìm thấy trong sách giáo khoa Toán lớp 7 ở bậc trung học cơ sở. Nhưng có một cách chứng minh định lý Pytago khác mà bạn có thể chưa được học. Đó là lời giải của Albert Einstein đưa ra vào năm mà ông mới 11 tuổi.
Einstein khi đó nhận thấy nếu ông hạ một đường cao AD vuông góc với cạnh huyền BC của tam giác vuông ABC, cậu sẽ nhận được 2 tam giác vuông đồng dạng với tam giác vuông ABC. Bây giờ, chỉ cần vẽ ra bên ngoài tam giác vuông ABC các hình vuông có cạnh là từng cạnh của nó, Einstein sẽ thu được 3 hình vuông có diện tích bằng a2, b2 và c2.
Bởi vì tỉ số diện tích của một tam giác vuông với diện tích của một hình vuông dựng trên cạnh huyền của nó là bằng nhau đối với các tam giác đồng dạng, chúng ta cũng sẽ có 𝑐2 = 𝑎2 + 𝑏2.

Ảnh minh họa.
Thế nhưng, đó chỉ là 2 trong số 370 cách chứng minh Định lý Pytago mà các nhà toán học đã tìm được trong hơn 2.500 năm qua. Từ sử dụng đại số, vi tích phân cho đến các cách cắt ghép hình học khác nhau, định lý toán học này có thể được chứng minh là đúng theo các phương pháp từ dễ đến phức tạp.
Mặc dù vậy, trong tất cả các lời giải này, không có cách chứng minh nào sử dụng công thức lượng giác. Bởi bản thân Pytago là một định lý cơ bản trong lượng giác, chứng minh nó bằng lượng giác sẽ khiến chúng ta rơi vào một cái bẫy của ngụy biện logic, gọi là tư duy tuần hoàn, khi chúng ta sử dụng chính Định lý Pytago để chứng minh Định lý Pytago.
Các nhà toán học đã liên tục thất bại trong nhiệm vụ này, đến nỗi vào năm 1927, Elisha Loomis là một nhà toán học người Mỹ đã phải thốt lên rằng: "Không thể có một cách chứng minh Định lý Pytago bằng lượng giác nào vì tất cả công thức lượng giác cơ bản đều phải dựa vào tính đúng đắn của Định lý Pytago".
Nhưng hóa ra, Elisha Loomis đã nhầm.
Gần 100 năm sau, 2 học sinh trung học này đã tìm ra được cách chứng minh Định lý Pytago bằng lượng giác
Trong một nghiên cứu mới đăng trên tạp chí American Mathematical Monthly, hai học sinh Ne'Kiya Jackson và Calcea Johnson đến từ trường Trung học St. Mary's Academy ở Colorado đã trình bày không chỉ 1 mà tới 10 cách chứng minh Định lý Pytago bằng lượng giác.

Ne'Kiya Jackson (trái) và Calcea Johnson (phải).
Để có thể làm được điều này, Jackson và Johnson đã sử dụng một tam giác vuông ABC như thường lệ. "Cách chứng minh thứ nhất của chúng tôi bắt đầu bằng việc lật tam giác ABC qua cạnh AC của nó để tạo thành một tam giác cân ABB'", bộ đôi viết trong bài báo.
Trong bước kế tiếp, họ sẽ dựng tam giác vuông AB'D, bằng cách kéo dài cạnh AB tới điểm D sao cho từ D hạ được đường vuông góc xuống B'A.
Chính tại bước này, hãy đảm bảo bạn có đủ giấy, bởi AB'D là một tam giác có cạnh dài đột biến và điểm D rất có thể sẽ nhảy ra bên ngoài mép giấy của bạn.
Sau đó, từ điểm B, bạn sẽ hạ một đường vuông góc với BB', cắt B'D tại E. Rồi lại từ E hạ đường vuông góc cắt AD tại F… Cứ thế cho tới vô tận, bạn sẽ được vô số các tam giác đồng dạng có diện tích cộng lại bằng diện tích tam giác AB'D:

Bây giờ là điểm quan trọng:
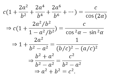
Jackson và Johnson nhận thấy vì BB' có độ dài là 2a và tam giác B'EB đồng dạng với tam giác ABC, họ có thể tính ra độ dài cạnh BE là 2a2/b. BF=2A2c/b2. Cứ thế, các cạnh FG, GH có thể được tính bằng 2a4c/b4 và 2a6c/b6…
Khi đó, độ dài cạnh huyền AD sẽ bằng tổng các đoạn thẳng:

Mà trong tam giác AB'D, ta có:

Từ hai công thức trên, ta lập được phương trình:

Trong đó, sử dụng tổng một chuỗi hội tụ cơ bản là:

Ngay sau khi được công bố, cách chứng minh Định lý Pytago của Jackson và Johnson lập tức đã thu hút được các nhà toán học, trong đó có Álvaro Lozano-Robledo, đến từ Đại học Connecticut.
"Nó trông không giống bất cứ thứ gì mà tôi từng thấy trước đây", Lozano-Robledo nói. Ý tưởng lấp đầy một tam giác lớn bằng vô hạn các tam giác nhỏ rồi tính độ dài cạnh của nó bằng một chuỗi hội tụ là một sự sáng tạo vượt ngoài mong đợi đối với học sinh trung học.

Nhà toán học Álvaro Lozano-Robledo đến từ Đại học Connecticut dành lời ngợi khen cho Ne'Kiya Jackson và Calcea Johnson.
"Một số người nghĩ rằng ai đó phải dành hàng năm trời trong các trường hoặc viện nghiên cứu thì mới có thể giải được một bài toán mới", Lozano-Robledo cho biết. "Nhưng cách giải này đã chứng minh điều đó có thể được thực hiện ngay khi bạn còn là học sinh trung học".
Không chỉ chứng minh được Định lý Pytago theo một phương pháp hoàn toàn mới, Jackson và Johnson cho biết lời giải của họ còn nhấn mạnh vào một ranh giới mong manh của khái niệm lượng giác.
"Các bạn học sinh trung học có thể không nhận ra rằng có tới hai hai phiên bản lượng giác được gán vào cùng một thuật ngữ. Trong trường hợp đó, cố gắng hiểu lượng giác cũng giống như cố gắng hiểu một bức tranh có hai hình ảnh khác nhau được in chồng lên nhau", họ nói.
Lời giải bất ngờ cho Định lý Pytago đến từ chính việc Jackson và Johnson đã tách biệt hai biến thể lượng giác này và sử dụng một định luật cơ bản khác của lượng giác là Định luật Sin. Bằng cách này, bộ đôi đã tránh được các vòng luẩn quẩn mà các nhà toán học tiền nhiệm, trong đó có Elisha Loomis, đã gặp phải khi họ cố gắng chứng minh Định lý Pytago bằng chính Định lý Pytago.

Chưa ai từng chứng minh được định lý Pytago theo cách này, ngay cả Albert Einstein.
"Kết quả của họ đã thu hút sự chú ý của các học sinh khác vào một góc nhìn mới mẻ và đầy triển vọng", Tổng biên tập của tạp chí American Mathematical Monthly, Della Dumbaugh, nhận xét.
"Nó cũng sẽ mở ra rất nhiều cuộc trò chuyện về toán học mới", Lozano-Robledo nói. "Đó là khi những nhà toán học khác có thể sử dụng bài báo này để khái quát hóa chứng minh đó, khái quát hóa ý tưởng của họ, hoặc đơn giản là sử dụng ý tưởng đó theo những cách khác".
Có thể thấy rằng, một miền đất mới trong toán học đã được mở ra sau khi Jackson và Johnson vẽ ra "tam giác" đột biến. Một tam giác kéo dài ra khỏi mép giấy chứa bên trong là một vòng lặp của các tam giác vô tận.
Vì vậy, trong lần tới nếu đang giải toán hình mà bạn gặp phải mép giấy, hãy thử vẽ hết nó xem. Biết đâu, bạn cũng sẽ có cho mình một khám phá mới.
NỔI BẬT TRANG CHỦ
-
Bán dữ liệu cho OpenAI, "Ngôi đền của coder" tự đào hố chôn mình khi bị ChatGPT cướp khách
Dù lượng câu hỏi trên Stack Overflow vốn đã tụt dần đều qua nhiều năm, nhưng thỏa thuận cung cấp dữ liệu cho OpenAI đã thực sự đánh dấu chấm hết cho nền tảng nổi tiếng này.
-
Cận cảnh ThinkPad Rollable XD: Giải pháp mở rộng không gian hiển thị độc đáo của Lenovo