Theo vật lý, đáng lẽ Quicksilver đã hại chết Magneto trong cuộc gặp mặt lần đầu
Những công thức vật lý đơn giản có thể được sử dụng để giải đáp những câu hỏi thú vị trong các bộ phim. X-Men là một trong những bộ phim ấy.
Trong một bài gần đây, tốc độ của Quicksilver được xác định là có thể đạt đến 4091 m/s. Nhưng với sức mạnh như vậy liệu anh có sử dụng nó một cách hơi “thiếu thận trọng” không?
Xét lại cảnh đầu tiên Quicksilver gặp Magneto trong phi vụ giải cứu chính bố của mình từ một nhà tù giam cầm bí mật ngay dưới lầu năm góc.

Trong cảnh phim, để thoát khỏi đám lính canh gác, Quicksilver đã đẩy Magneto, bố đẻ của anh vào đến thẳng bên trong một thang máy xuyên qua một hành lang dài quãng 50 m. Khá cẩn thận anh đặt tay của mình để chặn đầu và cột sống của Magneto kẻo đầu của Magneto bẻ quặt ra đằng sau.
Chi tiết nhỏ này thực sự đóng vai trò quan trọng, nếu không giang tay ra đỡ lưng Magneto, có thể Quicksilver đã hại chết cha mình chỉ vài phút sau khi gặp ông lần đầu.
Nhưng liệu tư thế ấy thực sự đủ để ngăn tác động của gia tốc lên thân thể mỏng manh của Magneto không?
Có hai cách để đo gia tốc mà Quicksilver đã đạt được trong cuộc vượt ngục siêu tốc:
Đầu tiên, sử dụng các định luật vật lý để dự đoán gia tốc dựa vào bối cảnh phim
Trước hết ta cần xác định và ước lượng những số liệu cần thiết để áp dụng vào các phép tính:
1. Chiều dài hành lang mà Quicksilver chạy xuyên qua: Theo đoạn phim đoạn hành lang dài ít nhất khoảng 15,2 m.
2. Dù không rõ các lính canh được ném lên hay nâng lên không trung. Trong cảnh phim, rõ ràng Quicksilver đã hoàn thành quãng hành lang với bố mình trong tay trước khi đám linh kịp chạm đến mặt đất.
3. Nhóm lính canh gác được tung lên không trung với độ cao khoảng 1,5 m. Chiều cao này quan trọng để áng chừng được thời gian Quicksilver cần để di chuyển hết quãng đường hành lang.
Bước tiếp theo ta cần xác định thời gian chính xác đã trôi qua khi Magneto phi tới thang máy.
Nếu nhóm lính đã bị văng lên cao 1,5 m, và tại thời điểm đạt đến độ cao ấy, chỉ có trọng lực tác động vào. Thì đơn giản đây sẽ chỉ là một công thức tính quãng đường sử dụng tốc độ gia tốc cố định.
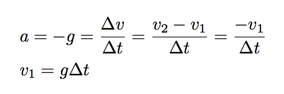
Giả sử ta chỉ tính nửa thời gian từ khi đám linh gác bị tung lên trời cho đến khi chạm đất, lấy gia tốc gây ra bởi trọng lực là -9,8 m/s2 (vì lính di chuyển ngược với chiều trọng lực). Như vậy tốc độ của lính là 0 m/s khi ở độ cao tối đa (1,5 m) và thời gian để lính “bay lên” và thời gian “hạ cánh” là bằng nhau.
Với a là gia tốc, g là gia tốc trọng lực, delta v là tổng tốc độ và delta t là tổn thời gian, v2 là tốc độ ban đầu (0 m/s) và v1 là tốc độ tối đa, ta có phương trình:

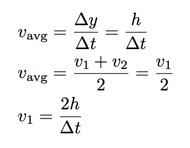
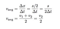
Sử dụng định luật về tốc độ trung bình với delta y là tổng quãng dường (bằng với h là độ cao 1,5 m) ta có:

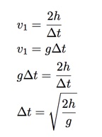
Với hai công thức rút ra từ hai phương trình trên ta có:

Đừng quên đây mới là nửa thời gian tung lên hạ xuống của đám lính, tổng thời gian đơn giản sẽ gấp 2 lần t trong phương trình.
Tổng thời gian này quan trọng bởi vì nó sẽ đóng vai trò làm cột mốc đo quá trình Quicksilver chạy từ vị trí nghỉ, tăng tốc cho đến giảm tốc và cuối cùng là dừng lại tại thang máy.
Thực ra thời gian tính ra bởi phương trình này không thực sự chính xác, một phần lớn là vì các tay lính gác có lẽ được nâng lên bởi Quicksilver thay vì tự bật nhảy lên và vì Quicksilver hoàn thành chặng đường kéo dài hành lang trước khi họ kịp đáp xuống đất.
Thay các biến số trong phương trình ta nhận được thời gian Quicksilver “trình diễn": kéo dài 1,1 giây vì tổng thời gian t trong phương trình có kết quả là 0,55 giây..
Vậy gia tốc Quicksilver đạt được lên đến bao nhiêu trên hành lang?
Có nhiều cách Quicksilver có thể chạy trên hành lang, nhưng để đơn giản hóa phép tính, ta sẽ cho rằng Quicksilver tăng tốc đều đến giữa hành lang lang và rồi lại giảm tốc đều cho đến khi dừng hẳn lại cùng với Magneto trong hành lang. Và như vậy quá trình chạy có thể được chia làm hai khoảng tương đương nhau.
Thay vì phải đau đầu với các giai đoạn tăng giảm tốc độ phiền phức, chia ra làm 2 giai đoạn tăng đều và giảm đều tốc độ ta có thể dễ dàng kết hợp với khoảng thời gian cũng đã chia đôi trên là 5,05 giây.
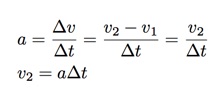
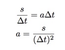
Delta t lần này tiếp tục là nửa quãng thời gian đội canh gác nhà tù tung bay, ta có phương trình về gia tốc:

Và với thời gian bằng nửa thời gian thật, ta lấy s là quãng đường hành lang và vì vậy s/2 là nửa quãng đường hành lang. Sử dụng phương trình tính trung bình tốc độ một lần nữa ta có:

Và vì tốc độ tối đa lớn gấp đôi tốc độ trung bình vì gia tốc tăng đều ta có:

Với s =15 m và t =0,55 giây kết quả gia tốc ta nhận được là 12,56 m/s2 ( chỉ hơn gia tốc trọng lực trái đất đến 28% có thể gọi tắt là 1,28 G).
Nhưng đó là với thời gian tối đa không xác định trong bộ phim. Khả năng cao hành lang dài hơn nhiều vì khi dừng hình ta có thể thấy vân tường có màu sắc khác so với cảnh lính gác bị hất tung lên. Và theo hiệu ứng làm chậm thời gian của bộ phim, có vẻ như Quicksilver hoàn thành chuyến đi của mình trước khi các tên lính chạm đến mặt đất.
Vì vậy thời gian thực tế có lẽ chỉ vào khoảng một nửa so với tính toán, và như vậy gia tốc mà Quicksilver đạt đến là khoảng 50,2 m/s2 (khoảng 5,1 G)
Cách tính dễ dàng hơn: dựa vào giây thứ 30 trong đoạn clip dưới đây
Nếu tua chậm cảnh quay trên ta có thể thấy khi chạy từ hành lang đến thang máy, vết mờ mà Quicksilver để lại trên hình chứng tỏ trong 3 khung hình phim, Quicksilver đã di chuyển thành công quãng hành lang dài chừng 15 m ấy.
Tại chính xác đoạn 0:30 trong clip trên, trong một khoảnh khắc, có thể trực tiếp quan sát tốc độ chạy của Quicksilver
Với những con số ước lượng này, thời gian di chuyển sẽ chỉ là 0,066 giây (3 khung hình, không ở chế độ slow-motion) và đưa gia tốc của Quicksilver lên đến 3489m/s2 nghĩa là khoảng 356 G, lớn hơn rất nhiều so với cách tính toán “truyền thống” ở trên.
Vậy gia tốc này sẽ ảnh hưởng tới Magneto thế nào?
Với con số 5,1 G, vẻ mặt bối rối và có phần sốc của Magneto khá hợp lý khi một người bình thường không trải qua việc luyện tập cũng có thể chịu được mức gia tốc này.
Nhưng nếu xét theo cách tính “mỳ ăn liền” dựa vào chính cảnh phim nói trên, khuôn mặt đẹp trai của Michael Fassbender, người thủ vai Magneto sẽ không còn được như vậy nữa.
Và thay vì thực hiện màn khống chế vui mắt gần chục nhân viên an ninh một cách đầy bỡn cợt ngay sau đó, có lẽ Quicksilver đã phải bỏ ra nhiều thời gian điều trị tâm lý sau khi lỡ tay hại chết bố mình chỉ sau vài phút đầu làm quen.
Tham khảo Wired
NỔI BẬT TRANG CHỦ
-
OPPO ra mắt Find X9 Ultra và Find X9s tại Việt Nam: Cuộc đua nhiếp ảnh 200MP, zoom "khủng" đang nóng hơn bao giờ hết
Tại sự kiện "Finding Hội An" ngày 5-5, OPPO chính thức giới thiệu bộ đôi Find X9 sở hữu hệ thống camera 200MP kết hợp Hasselblad, khẳng định vị thế dẫn đầu trong phân khúc smartphone nhiếp ảnh cao cấp hiện nay.
-
Tuyên bố AI sẽ thay thế kỹ sư phần mềm, nhưng Anthropic trả tới 15 tỷ đồng để tuyển kỹ sư phần mềm: Phần ghi chú mới gây sốc